当前位置:
歌谱简谱网
>
三字歌谱
> 临江仙
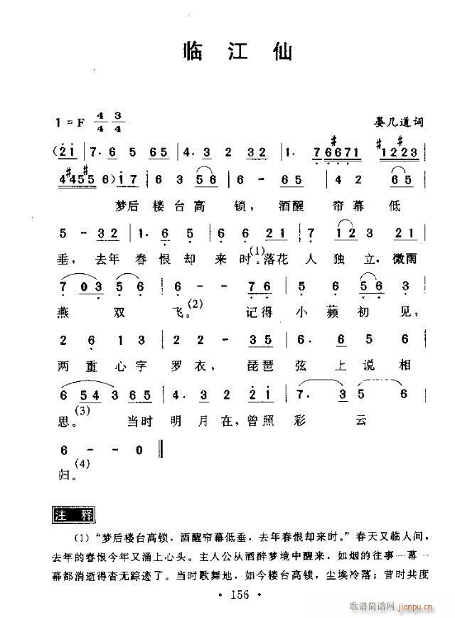
临江仙
艺术家/歌手/词曲:
点击:
(网络)
其他相关
简谱/曲谱
[三字歌谱]临江仙
[七字歌谱]临江仙 劝学
[七字歌谱]临江仙 雪梅
[三字歌谱]何为仙 齐国良
[四字歌谱]仙林青梅 杨竹青
[三字歌谱]鹊桥仙(七夕) 秦观
[三字歌谱]水中仙(连续剧洛神主题曲) 马浚伟
[三字歌谱]桃花仙
[三字歌谱][原创]借光了---为炉膛老师的《不老仙》谱曲
[笛箫谱]回梦游仙 未知
[钢琴谱]回梦游仙 心然
[六字歌谱]淡淡幽思 仙2 未知
[三字歌谱]亲爱的(《AA制生活》片尾曲) 羽泉
[三字歌谱]雪山人 齐旦布
[三字歌谱]薇林花
[三字歌谱]思乡曲 刘震宇
[三字歌谱]啊哩哩(线谱)
返回歌谱简谱网首页
音乐图书