当前位置:
歌谱简谱网
>
十字及以上
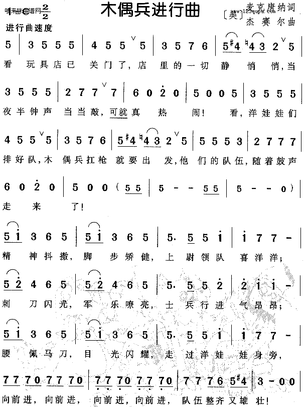
> 木偶兵进行曲-美国儿童歌
木偶兵进行曲-美国儿童歌
艺术家/歌手:
未知
点击:
(网络)
其他相关
简谱/曲谱
[十字及以上]木偶兵进行曲-美国儿童歌 未知
[六字歌谱]木偶兵进行曲(儿童歌)
[六字歌谱]木偶兵进行曲(儿童歌)
[五字歌谱]美国巡逻兵
[萨克斯谱]美国巡逻兵
[其他乐谱]美国巡逻兵 民乐类 扬琴 [美]米查姆、项祖华
[其他乐谱]美国巡逻兵 管乐类 萨克斯管 佚名
[电子琴谱]巡逻兵进行曲(中级班电子琴乐谱) 吴嘉平改编
[钢琴谱]巡逻兵进行曲 弗兰克·米查姆
[钢琴谱]玩具兵进行曲 莱昂·耶塞尔
[三字歌谱]看木偶(童声表演唱)
[钢琴谱]巡逻兵进行曲- 四手联弹 弗兰克·米查姆
[十字及以上]帕米尔,我的家乡多么美
[十字及以上]1223我的手小主的手大1224
[十字及以上]1225 我的仇敌啊不要像我夸耀
[十字及以上]1221 一句话说的合宜 小敏
[十字及以上]夺印-鱼儿靠得长流水
返回歌谱简谱网首页
音乐图书