当前位置:
歌谱简谱网
>
五字歌谱
> 中国进行曲
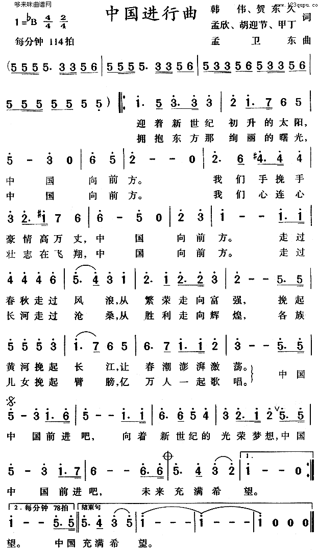
中国进行曲
艺术家/歌手:
未知
点击:
(网络)
其他相关
简谱/曲谱
[五字歌谱]中国进行曲 未知
[五字歌谱]中国进行曲
[五字歌谱]中国进行曲 佟铁鑫
[五字歌谱]中国进行曲
[七字歌谱]中国空军进行曲 未知
[七字歌谱]中国空军进行曲(五线谱/简谱对照)
[七字歌谱]中国空军进行曲(五线谱/简谱对照)
[钢琴谱]进行曲 苗波
[钢琴谱]进行曲(贝利尼) 未知
[钢琴谱]进行曲(威尔第、选自歌剧《阿依达》)[钢琴曲谱] 未知
[钢琴谱]进行曲(贝利尼)[钢琴曲谱] 未知
[钢琴谱]进行曲(威尔第、选自歌剧《阿依达》)
[五字歌谱]你在我梦里 许强
[五字歌谱]军营红玫瑰 白小玉
[五字歌谱]一路格桑花
[五字歌谱]八荣八耻歌 杨洪基等
[五字歌谱]军港的晚霞 吕继宏
返回歌谱简谱网首页
音乐图书