当前位置:
歌谱简谱网
>
三字歌谱
> 木夯歌
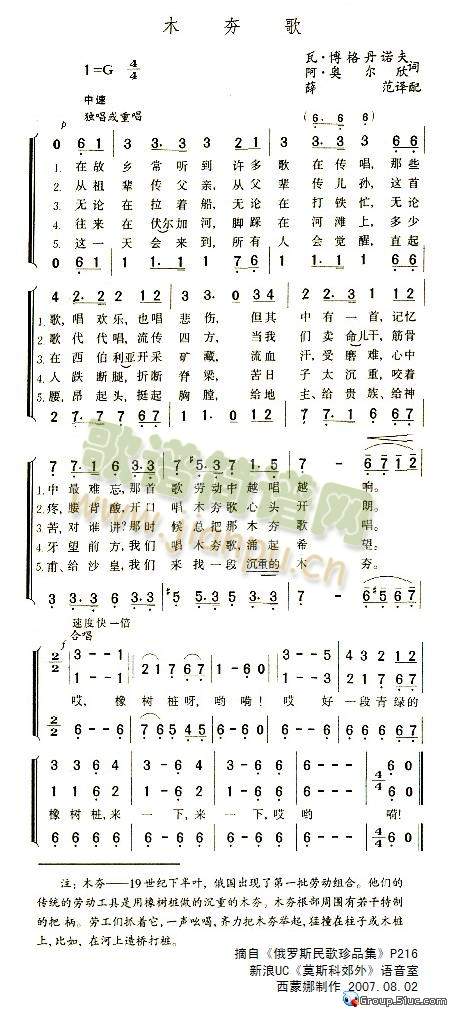
木夯歌
艺术家/歌手:
俄文原唱
点击:
(乐友aryouking传谱)
其他相关
简谱/曲谱
[三字歌谱]木夯歌 俄文原唱
[十字及以上]打夯歌:丁郎寻父唱段(二人转) 韩子平
[九字歌谱]赛里木湖面起了风浪
[其他乐谱]耶几长木—扎年 民乐类 其他乐器 平措顿珠演奏
[其他乐谱]耶几长木—扎年 民乐类 其他乐器 平措顿珠演奏
[三字歌谱]牡丹亭 陈明华
[三字歌谱]主的手
[三字歌谱]边关月 王宏伟
[三字歌谱]拉拉爱 邵雨涵
[三字歌谱]爱啦啦 海楠
返回歌谱简谱网首页
音乐图书