当前位置:
歌谱简谱网
>
九字歌谱
> 多情的小雨无情的风
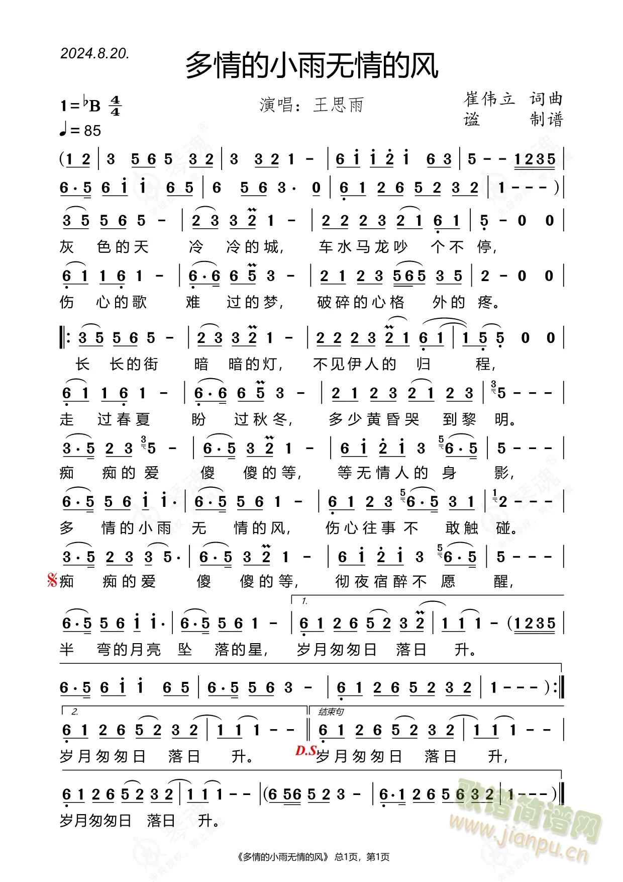
多情的小雨无情的风
艺术家/歌手/词曲:
王思雨
点击:
(网络)
其他相关
简谱/曲谱
[九字歌谱]多情的小雨无情的风 王思雨
[八字歌谱]多情的无情的多情
[八字歌谱]多情的无情的多情 张洪量
[六字歌谱]无情风无情浪
[七字歌谱]多情总比无情苦
[九字歌谱]多情的玫瑰无情的人 刚辉
[七字歌谱]多情却被无情伤 晓月
[七字歌谱]多情总为无情伤
[七字歌谱]多情总为无情伤 于千惠
[九字歌谱]一个多情又无情的人 花姐
[十字及以上]多情的人总被无情的伤 六哲
[十字及以上]多情总为无情伤(歌曲主旋律 )
[九字歌谱]国难当头我们一起来 焦响
[九字歌谱]十二经脉起止穴位歌 梦兰飞飞雷飞旗
[九字歌谱]我们的爱,无处不在
[九字歌谱]故乡的山水令我陶醉
[九字歌谱]我们是善战的导航兵 徐兵
返回歌谱简谱网首页