当前位置:
歌谱简谱网
>
十字及以上
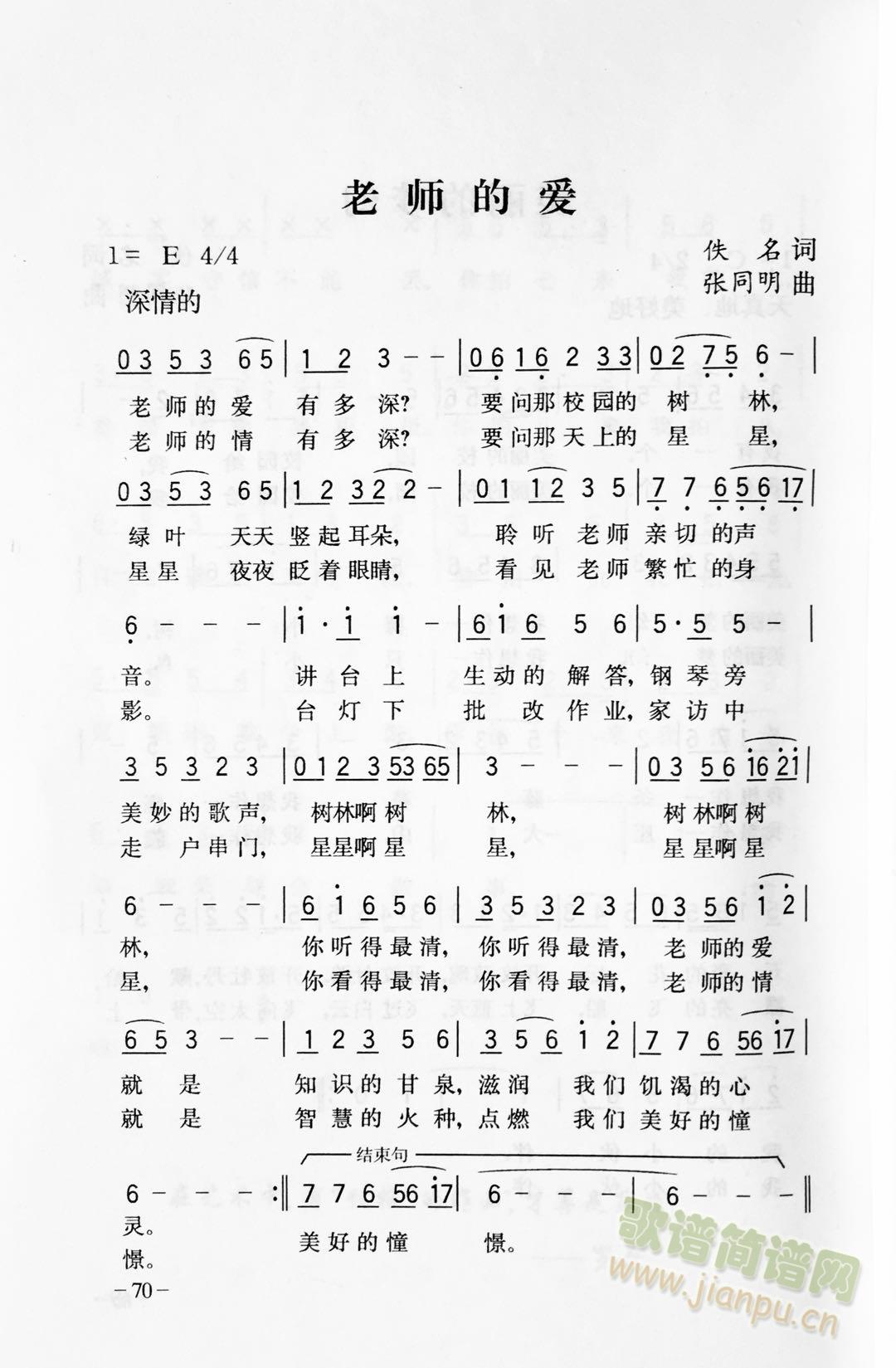
> 老师的爱(佚名词 张同明曲)
老师的爱(佚名词 张同明曲)
艺术家/歌手/词曲:
点击:
(网络)
其他相关
简谱/曲谱
[十字及以上]老师的爱(佚名词 张同明曲)
[十字及以上]《我这样爱着你》 作词 黎 强 作曲 石茂海 学习篇 请老师指教
[九字歌谱]为爱闯天涯(小一儿词 佚名曲)
[十字及以上]樱桃老师作词的欢迎各位老师修正
[六字歌谱]老师 我爱您
[四字歌谱]我爱老师 仇晓明
[七字歌谱]老师 我们爱您
[四字歌谱]老师的爱
[二字歌谱][分享](1)词曲:佚名
[九字歌谱]老师您好(许德清词、邹莹改词 邹兴淮曲)
[十字及以上]苏武牧羊(翁曾方(坤)词 佚名曲)
[十字及以上]老师辛苦了安怀东作词、 作曲 东方行者
[十字及以上]完全的主 (第777首)
[十字及以上]青年进行曲(一) 】百年精品】
[十字及以上]到底人间欢乐多(韩再芬版)02
[十字及以上]跪天跪地跪亲娘(焦响制谱) 衡越
[十字及以上]打猪草《对花》吴琼版02
返回歌谱简谱网首页