当前位置:
歌谱简谱网
>
五字歌谱
> 梦中的女神
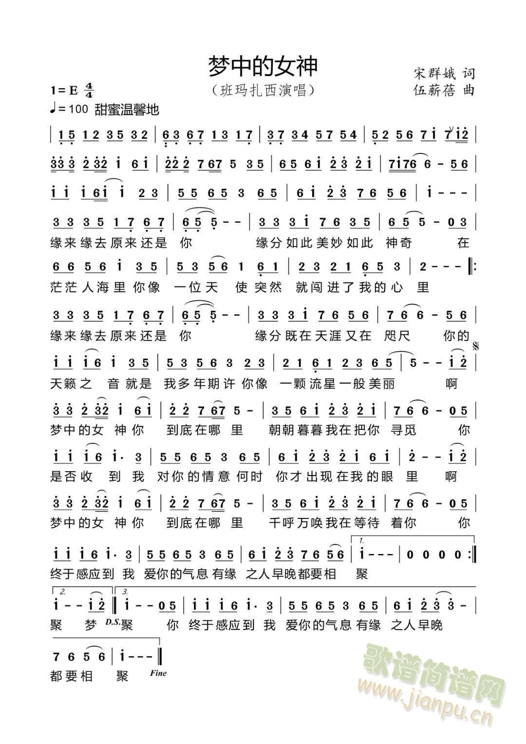
梦中的女神
艺术家/歌手/词曲:
班玛扎西
梦中的女神——班玛扎西原唱
点击:
(网络)
其他相关
简谱/曲谱
[五字歌谱]梦中的女神 班玛扎西
[四字歌谱]我的女神 亚东
[二字歌谱]女神
[四字歌谱]女神妈祖
[四字歌谱]中国女神(周少泉 词 曲)
[五字歌谱]母亲——女神
[五字歌谱]西湖的女神
[四字歌谱]月亮女神 曲尔登
[五字歌谱]木卡姆女神
[四字歌谱]油田女神(张景坤词 徐湘曲)
[四字歌谱]非洲女神
[四字歌谱]和平女神
[五字歌谱]黄桷兰在开 火素 词 谢农 曲 不孤单 编
[五字歌谱]《海南,你好》(词:黎强 曲:车兴明)
[五字歌谱]秋月江上吟
[五字歌谱]五十六朵花 词王剑钟 曲许宝仁
[五字歌谱][民通] 大渡河飞歌 黄健雄词 雲飛揚曲
返回歌谱简谱网首页