当前位置:
歌谱简谱网
>
葫芦丝谱
> 沧海一声笑(葫芦丝)
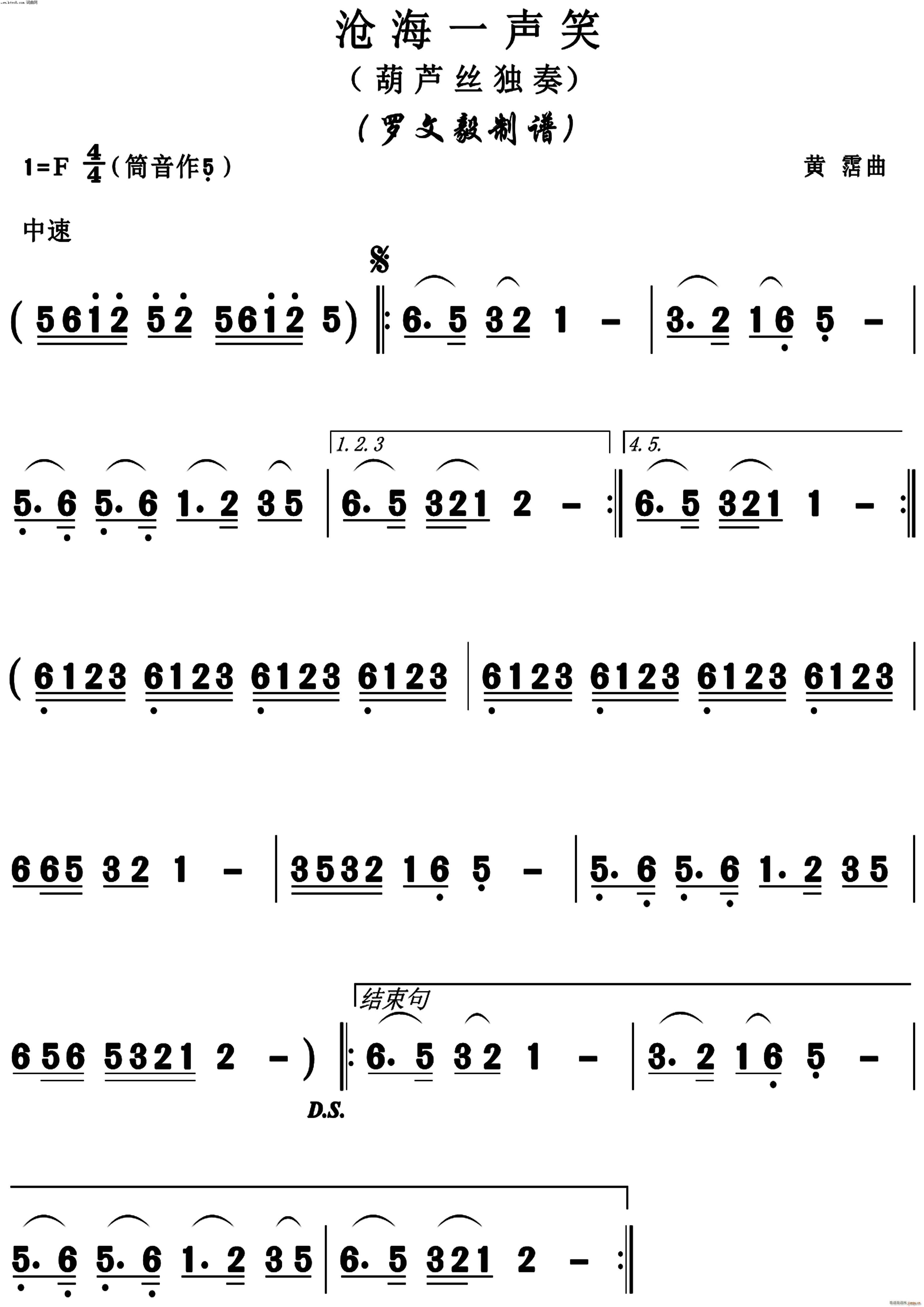
沧海一声笑(葫芦丝)
艺术家/歌手/词曲: 黄霑
点击:
(博夫)
其他相关
简谱/曲谱
[葫芦丝谱]沧海一声笑(葫芦丝)
[其他乐谱]沧海一声笑 [陶笛谱] 未知
[古筝扬琴谱]沧海一声笑 任贤齐
[古筝扬琴谱]沧海一声笑 未知
[古筝扬琴谱]沧海一声笑(古筝一级) 未知
[古筝扬琴谱]沧海一声笑 未知
[钢琴谱]沧海一声笑 许冠杰
[钢琴谱]沧海一声笑(《笑傲江湖》主题歌)
[吉他谱]沧海一声笑 未知
[吉他谱]沧海一声笑 未知
[吉他谱]沧海一声笑 任贤齐
[吉他谱]沧海一声笑 许冠杰
[葫芦丝谱]澜仓江水向东流 邹宁静曲 小静葫芦丝演奏
[葫芦丝谱]金丝绣袋送给哥《葫芦丝独奏曲》 谭炎健
[葫芦丝谱]清清玉壶水《葫芦丝独奏曲》 李春华曲 李春华演奏
[葫芦丝谱]竹林逸士葫芦丝独奏 新版洗衣歌 竹林逸士
[葫芦丝谱]欢乐的山寨 葫芦丝
返回歌谱简谱网首页