当前位置:
歌谱简谱网
>
九字歌谱
> 花傈僳的妺子好可爱
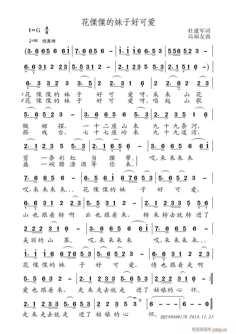
花傈僳的妺子好可爱
艺术家/歌手/词曲:
点击:
(网络)
其他相关
简谱/曲谱
[九字歌谱]花傈僳的妺子好可爱
[九字歌谱]花傈僳的妹子好可爱
[十字及以上]独山子 石化人可爱的家园 侯明霞
[三字歌谱]舍子花 阿悄
[五字歌谱]子涵是朵花
[四字歌谱]傈僳姑娘
[手风琴谱]你可看见我可爱的花(爱尔兰民歌)
[八字歌谱]傈僳的寨门为你开
[五字歌谱]《傈僳敬酒歌》孙华词 南梆子曲
[葫芦丝谱]踏歌傈僳山 林荣昌
[四字歌谱]可爱的你
[吉他谱]花(独奏曲) 未知
[九字歌谱]我的家园(李俊伟词 鄂矛曲)
[九字歌谱]祖国春秋(崔吉焘词 李德江曲)
[九字歌谱]我在念着你我的爱人 央金兰泽
[九字歌谱]我今站在主的言语上
[九字歌谱]青年青年教会的希望
返回歌谱简谱网首页
音乐图书