当前位置:
歌谱简谱网
>
十字及以上
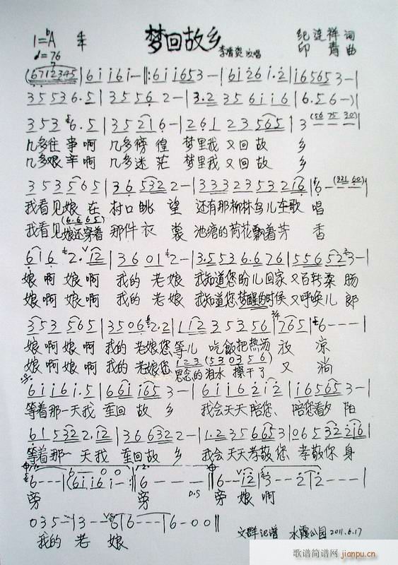
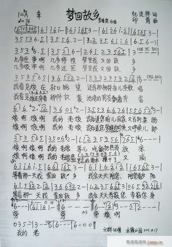
> 梦回故乡 印青近作 答薛丽
梦回故乡 印青近作 答薛丽
艺术家/歌手/词曲:
李清资
点击:
(网络)
其他相关
简谱/曲谱
[十字及以上]梦回故乡 印青近作 答薛丽 李清资
[其他乐谱]梦回故乡(葫芦丝谱) 未知
[笛箫谱]梦回故乡(葫芦丝谱)[笛萧曲谱] 未知
[吉他谱]梦回故乡(李绪杰) 未知
[葫芦丝谱]梦回故乡
[葫芦丝谱]梦回故乡
[四字歌谱]梦回故乡 朱晓琳
[四字歌谱]梦回故乡 吕继宏
[四字歌谱]梦回故乡
[四字歌谱]梦回故乡(五线谱/简谱对照)
[四字歌谱]梦回故乡 阿丽玛
[葫芦丝谱]梦回故乡
[十字及以上]中国民族民间舞曲选(十)维吾尔族舞蹈:泉水
[十字及以上]中国民族民间舞曲选(十)维吾尔族舞蹈:摘葡萄
[十字及以上]adele_rolling_in_the_deep 阿黛尔
[十字及以上]_you_are_my_sunshine
[十字及以上]我把我的云儿在风中飘起 霓裳
返回歌谱简谱网首页
音乐图书