当前位置:
歌谱简谱网
>
二字歌谱
> 香香
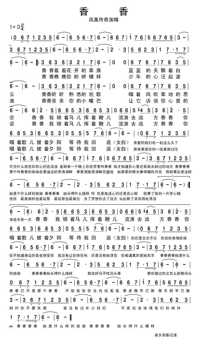
香香
艺术家/歌手:
凤凰传奇
点击:
(泉乡剑客)
其他相关
简谱/曲谱
[二字歌谱]香香 凤凰传奇
[钢琴谱]猪之歌-香香 未知
[六字歌谱]香香-猪之歌 未知
[六字歌谱]香香-猪之歌 香香
[钢琴谱]猪之歌-緈諨版-香香 未知
[二字歌谱]夏夜 唐磊
[二字歌谱]飘散
[二字歌谱]伙计 张明霞
[二字歌谱]为啥
[二字歌谱]故事 杨钰莹
返回歌谱简谱网首页
音乐图书