当前位置:
歌谱简谱网
>
九字歌谱
> 生生死死把你爱心里
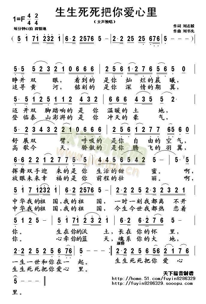
生生死死把你爱心里
艺术家/歌手:
点击:
(fuyin8286329)
其他相关
简谱/曲谱
[九字歌谱]生生死死把你爱心里
[六字歌谱]爱常在我心里
[六字歌谱]爱常在我心里 张蔷
[钢琴谱]在我的心里 未知
[五字歌谱]你在我心里 邓丽君
[五字歌谱]你在我心里
[笛萧谱]你在我心里
[钢琴谱]心里装着谁 佟铁鑫
[五字歌谱]心里装着谁 佟铁鑫
[六字歌谱]天国在你心里
[六字歌谱]天国在你心里 未知
[六字歌谱]天国在你心里 未知
[九字歌谱]千歌万曲歌唱毛主席 盘继宏
[九字歌谱]放飞三十万只和平鸽 杨洪基
[九字歌谱]生活在阳光下多幸福
[九字歌谱]祝福毛主席万寿无疆(忠字舞版)
[九字歌谱]做一朵红花献给妈妈
返回歌谱简谱网首页
音乐图书